척수손상(SCI) 사지마비 환자들을 위한 희소식.
Onward (onwd.com) 라는 유럽회사는 척수손상 환자를 위해 세가지 형태의 전기자극 제품을 개발하고 있다. (1) 목뒤 피부에 붙여 전기자극하는 비수술형 ARC-EX, (2) 척수관 외피(epidural)에 전극을 삽입하는 수술형 ARC-IM, (3) 두뇌에 전극을 삽입하는 ARC-BCI
이중 ARC-EX가 미국 FDA에서 병원용으로 사용되는 걸로 승인이 났고 2025년 초부터 몇몇 재활치료 센터에 판매가 일어났다. (회사가 정한 기준가격은 $40,000 달러이다. 병원용이라 가격이 높게 책정된 듯..)

그림. ARC-EX를 목뒤에 붙이고 손훈련 작업치료

그림. ARC-EX기기 구성
ARC-EX기기의 기능: 치료 세션 동안 10kHz 주파수와 100 µs 펄스 폭을 가진 10개의 펄스로 구성된 10kHz 반송파를 30Hz 오버레이로 자극을 전달한다고 함.
유럽에서 가정용으로 판매하기 위한 승인을 추진중이고 25년 하반기를 기대하고 있다. 개인용으로 판매하려면 가격을 낮출 걸로 기대한다.
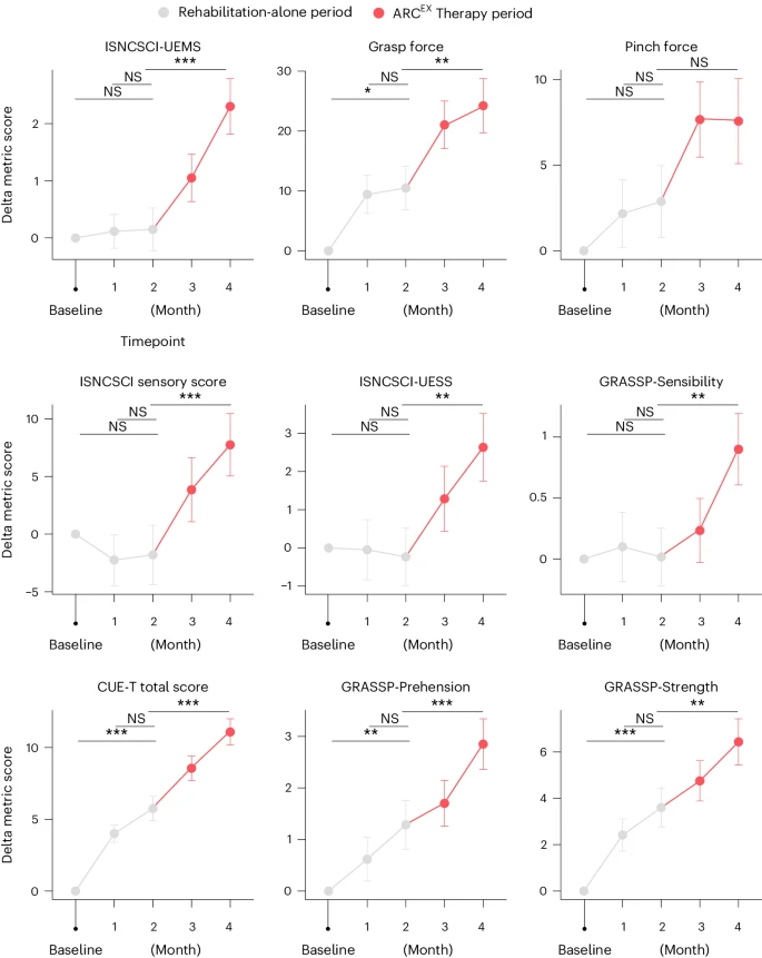
다음표는 60명의 환자에 대해, 2달간 단순 작업치료를 24회 한 후 (회색기간), 두달간 24회 ARC-EX의 전기자극을 주면서 작업치료를 했을 때 (붉은색) 손기능 개선 정도를 측정한 것이다. 75% 환자에게 효과가 있었다.

주)
https://youtu.be/r0ORRIbVWbM?si=YfNwjmsLimSSpCaJ
ONWARD Medical Announces First Commercial Sales of ARC-EX System - ONWARD Medical N.V.
https://ir.onwd.com/news-releases/news-release-details/onward-medical-announces-first-commercial-sales-arc-ex-system?mobile=1
'병상일기' 카테고리의 다른 글
| 텍스트로서의 코란 - 횡설수설 (0) | 2025.11.06 |
|---|---|
| 국내 척수손상 재생신약 KDS2010 (IBS) (0) | 2025.10.17 |
| 사업화 아이디어: 한글 이름 AI 서비스 (0) | 2025.09.02 |
| 황제의 통증, 가려움 (3) | 2025.08.26 |
| NVG-291, 청각손상 신경회복에 효과 확인 (2) | 2025.08.22 |